Classements
Rallyes
Prestations
Chronométrage
Géolocalisation
À propos
Contact
VHRS: Tableau d'affichage
Rallye National de l'Epine - Avant Pays Savoyard 2025 Modernes, VHC & VHRS
Suivre un concurrent
Documents de départs
VHRS-Liste des engagés
VHRS-Autorisés au départ
VHRS-ETAPE 1 - Ordre et heures de départ
VHRS-ETAPE 2 - Ordre et heures de départ
Classements généraux
VHRS-Classement général provisoire moyenne haute
VHRS-Classement général provisoire moyenne intermédiaire
VHRS-Classement général provisoire moyenne basse
CLASSEMENT GENERAL DEFINITIF VHRS
VHRS-Rapport de clôture
Classements ZR
VHRS-Classement ES01
VHRS-Classement ES02
VHRS-Classement ES03
VHRS-Classement ES04
VHRS-Classement ES05
VHRS-Classement ES06
VHRS-Classement ES07
VHRS-Classement ES08
Cumuls après ZR
VHRS-CUMUL ES01 - ES02
VHRS-CUMUL ES01 - ES03
VHRS-CUMUL ES01 - ES04
VHRS-CUMUL ES01 - ES05
VHRS-CUMUL ES01 - ES06
VHRS-CUMUL ES01 - ES07
COLLEGE COMMISSAIRES
ADDITIF N°1
ADDITIF N°2
ADDITIF N°3-1.jpg
ADDITIF N°3-2
PLANNING REUNIONS
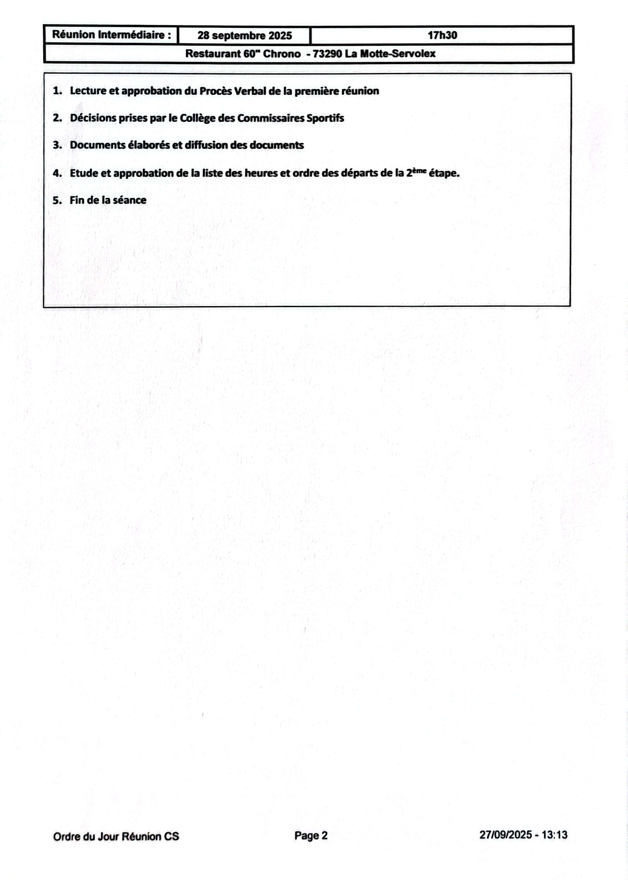
1ERE REUNION - 1
1ERE REUNION - 2
1ERE REUNION - 3
DECISION N°1